Abstract
Introduction:Adult T-cell leukemia/lymphoma (ATLL) is a disease that develops in a small proportion of individuals who are chronically infected with human T-cell lymphotropic virus type 1 (HTLV-1). Infection is endemic in some parts of the world, Brazil included1.
According to the Shimoyama classification, there are four ATLL subtypes: (1) acute, (2) lymphomatous, (3) chronic, and (4) smoldering2. The acute and lymphomatous subtypes are grouped together as aggressive subtypes and often appear with hypercalcemia, cutaneous lesions and visceral dysfunctions.
To define a first line treatment for aggressive ATLL is challenging, as the disease is often refractory even to intensive chemotherapy. According to a meta-analysis, patients with the acute subtype should receive antiviral therapy with zidovudine (AZT) and interferon-alfa (INF) and patients with the lymphomatous subtype should receive chemotherapy, both followed by allogeneic stem cell transplantation (ASCT) when feasible3.
The aim of this study is to describe the clinical and laboratory characteristics, as well as outcomes of patients with aggressive ATLL treated at a single center in Rio de Janeiro, Brazil.
Methods: This is a retrospective study. All patients diagnosed with acute or lymphomatous ATLL (according to the Shymoiama classification) between January 2011 and January 2017 have been evaluated. Diagnosis criteria included positive serology for HTLV-1 and histologically or cytologically proven T-cell malignancy. All patients were treated and followed-up in the Hematology Department of Instituto Nacional de Cancer in Rio de Janeiro, Brazil.
Statistical analyses were performed using SPSS software, version 21 (SPPS Inc., Chicago, IL, USA).
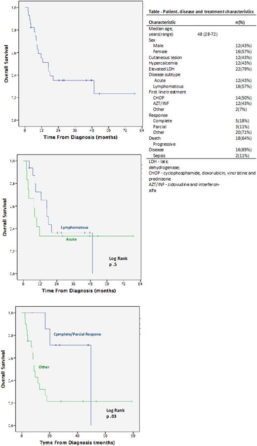
Results: A total of 28 patients with aggressive ATLL were analyzed: patient characteristics are summarized in Table 1.
Most patients (57%) were treated initially with chemotherapy (CT), usually CHOP (cyclophosphamide, doxorubicin, vincristine and prednisone) with 21-days intervals between cycles. Remaining patients were treated with antiviral therapy (AZT/INF). Treatment was considered adequate for the clinical subtype in 23 patients (82%). All patients received monthly intratechal chemotherapy.
Complete response was achieved in 5 patients (18%) and partial response in 3 additional patients (11%), with an overall response rate of only 29%. Median survival time was 16.7 months (8 and 17 months for acute and lymphoma types, respectively, not statistically significant). The only factor associated with better survival was at least partial response to first line treatment (Fig 1). The main cause of death was progression of the primary disease.
Only three patients (10%) were submitted to ASCT (two related and one unrelated). Two are alive one year after transplantation without evidence of the disease. The other patient died a few months after the transplantation of progressive disease.
Discussion: Treatment of aggressive ATLL is challenging, as patients often appear with a heavy tumor burden and a disease refractory to primary treatment or quickly relapse after remission. A large recent Japanese study including 344 patients with aggressive ATLL showed survival times of 8.3 and 10.6 months for the acute and lymphomatous subtypes, respectivelly4. Despite the limitations of our study, including its retrospective nature and the small sample, our resultsprovide relevant information from cases of an endemic area with limited number of studies. At least a partial response to first line treatment is necessary for long term survival.
Conclusion:Treatment of aggressive ATLL are ineffective and limited. The challenge is to develop therapeutic approaches with higher response rates and to increase the number of patients undergoing ASCT.
References
1 - Proietti FA, Carneiro-Proietti ABF, Catalan-Soares BC, et al. Global epidemiology of HTLV-1 infection and associated diseases. Oncogene 2005;24:6058-68
2 - Shimoyama M. Diagnostic criteria and classification of clinical subtypes of adult T-cell leukemia-lymphoma. Br J Haematol 1991;79:428-37
3 - Bazerbachi A, Plumelle Y, Ramos JC, et al. Meta-analysis on the use of zidovudine and interferon-alpha in adult T-cell leukemia/lymphoma showing improved survival in the leukemic subtypes. J Clin Oncol 2010;28:4177-83
4 - Katsuya H, Ishitsuka K, Utsunomiya A, et al. Treatment and survival among 1594 patients with ATL. Blood 2015;126:2570-2577.
No relevant conflicts of interest to declare.
Author notes
Asterisk with author names denotes non-ASH members.
